借助maple处理数学问题,其强大的符号计算能力功不可没。maple支持符号和数值的微分操作,接下来将展示一些常用的maple微分指令。若想深入了解基础指令的具体应用,可以前往maple中文官方网站查询。
在左侧的表达式面板里,选择微分或者偏微分选项。
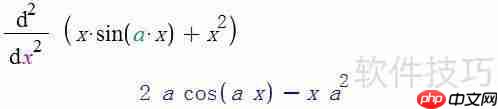
首先定义表达式及其自变量,然后执行求值过程。例如,求解 xsin(ax) 对 x 的一阶导数:



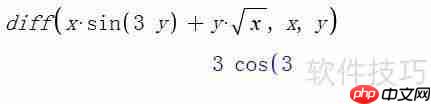
Maple利用diff命令来完成表达式的微分计算,常规格式为diff(expr, var),其中var代表微分变量。
举例来说:




以上就是Maple微分命令简介的详细内容,更多请关注php中文网其它相关文章!
每个人都需要一台速度更快、更稳定的 PC。随着时间的推移,垃圾文件、旧注册表数据和不必要的后台进程会占用资源并降低性能。幸运的是,许多工具可以让 Windows 保持平稳运行。
Copyright 2014-2025 https://www.php.cn/ All Rights Reserved | php.cn | 湘ICP备2023035733号