maple 2015在解决数学问题时,其强大的符号计算能力和矩阵处理功能备受关注。以下是关于如何在maple中构建矩阵的一些介绍。若需更多详细信息,请访问maple中文官网(mathsoft.cc)。
1、 创建矩阵的方法多样:
2、 矩阵可以通过Matrix命令、尖括号快捷符号或者矩阵面板来生成。
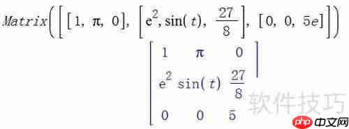
3、 使用Matrix命令时,它支持多种输入格式,例如单列列表,矩阵的维度会依据元素的数量自动确定。

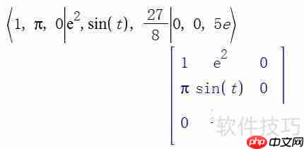
4、 另一种方式是利用尖括号,并用逗号隔开元素,使用竖直线|划分不同的列。

5、 还可以借助矩阵面板来创建矩阵,无需编写任何命令。

6、 在矩阵面板内,用户能够指定矩阵的维度和属性,点击插入矩阵按钮后便能添加矩阵。

7、 插入矩阵之后:
8、 输入元素数值后,按下Tab键就可以跳转到下一个占位符。
9、 当所有元素都已定义完毕,按下回车键完成操作。

以上就是Maple创建矩阵的方法总结的详细内容,更多请关注php中文网其它相关文章!
每个人都需要一台速度更快、更稳定的 PC。随着时间的推移,垃圾文件、旧注册表数据和不必要的后台进程会占用资源并降低性能。幸运的是,许多工具可以让 Windows 保持平稳运行。
Copyright 2014-2025 https://www.php.cn/ All Rights Reserved | php.cn | 湘ICP备2023035733号