maple在解决数学问题时,主要依赖其卓越的符号计算能力。它可以执行符号与数值的微分运算。下面将介绍一些常用的maple微分命令。若想了解更多的基础功能和操作指令,请访问mathsoft.cc以获取更多信息。
1、 在左侧表达式面板里,点击微分或偏微分选项。
2、 首先定义表达式和自变量,然后进行求值操作。
3、 例如,求xsin(ax)关于x的导数:

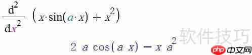
4、 当需要计算高阶或偏导数时,需要修改微分符号。比如,求xsin(ax)+x?关于x的二阶导数:

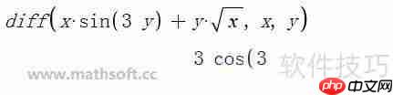
5、 计算(xsin(3x) + yx^5)的混合偏导数:

6、 Maple利用diff命令来计算表达式的微分,常见的格式是diff(expr, var),其中var是微分变量。
7、 举例来说:

8、 定义一组微分变量来进行高阶微分计算,Maple会通过递归调用diff命令来完成这个过程。

9、 在计算偏微分时,使用相同的语法,Maple会自动进行偏微分处理。

10、 如果要对变量进行多次求导,可以使用diff(f, x\$n)的形式,这是一种简写方式,n表示x的重复次数。这种语法同样适用于计算符号的n阶微分。

以上就是如何使用Maple进行基础微分运算的详细内容,更多请关注php中文网其它相关文章!
每个人都需要一台速度更快、更稳定的 PC。随着时间的推移,垃圾文件、旧注册表数据和不必要的后台进程会占用资源并降低性能。幸运的是,许多工具可以让 Windows 保持平稳运行。
Copyright 2014-2025 https://www.php.cn/ All Rights Reserved | php.cn | 湘ICP备2023035733号