在解决数学问题时,maple是一个很好的工具。它使用起来非常方便,既可以利用命令语句来运行,也可以通过简单的右键操作实现各种功能。如果想要学习更多基础操作,可以前往maple中文官方网站查询。
1、 比如:
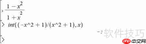
2、 在Maple软件中输入如下公式。

3、 将光标放在刚才输入公式的输出结果位置,然后单击鼠标右键。此时会弹出一个快捷菜单,其中列出了针对该表达式的多种操作方式。从菜单中选取积分功能:Integrate—x。
4、 得到的积分结果如下:

5、 绘制积分结果图像:再次右键点击积分结果表达式,选择Plots中的2-D Plot选项。

6、 显示与积分结果对应的图形。

以上就是Maple右键菜单使用指南的详细内容,更多请关注php中文网其它相关文章!
每个人都需要一台速度更快、更稳定的 PC。随着时间的推移,垃圾文件、旧注册表数据和不必要的后台进程会占用资源并降低性能。幸运的是,许多工具可以让 Windows 保持平稳运行。
Copyright 2014-2025 https://www.php.cn/ All Rights Reserved | php.cn | 湘ICP备2023035733号