强化学习系列(十二)--GRPO,DAPO,DUPO,GSPO

看不見的法師
发布: 2025-11-26 16:42:43
原创
241人浏览过

在之前的强化学习系列中我们介绍了强化学习的基础知识,也在系列十和系列十一中介绍了强化学习rl在llm中的应用。

最近我在介绍DeepResearch Agent的论文分享中讨论过从高质量数据合成,Agentic增量预训练(CPT),有监督微调(SFT)冷启动,到强化学习(RL)全流程的方法。但是介绍过程中重点在数据和论文方案思路框架上,RL算法部分都略过了。因为我发现每篇论文都在使用不同的RL方法,每个都详细介绍篇幅太长,不如将这些RL方法单独做一篇详细聊聊。

PPO在LLM的应用就不用再介绍了,系列十已经聊过,所以本文就介绍一些PPO的优化方案。

GRPO:Group Relative Policy Optimization

DeepSeekMath: Pushing the Limits of Mathematical Reasoning in Open Language Models

论文链接:https://arxiv.org/pdf/2402.03300

论文主要介绍的DeepSeekMath 7B的模型,在 MATH 和 GSM8K 等基准测试上超越了参数量更大的闭源模型。而提升的原因除了精心设计的数据工程,另一个重要原因就是引入PPO的优化算法GRPO(Group Relative Policy Optimization ),这种方法不仅提升了数学推理能力,也显著降低了训练过程中的显存占用。

☞☞☞AI 智能聊天, 问答助手, AI 智能搜索, 免费无限量使用 DeepSeek R1 模型☜☜☜

强化学习系列(十二)--GRPO,DAPO,DUPO,GSPO
descript

问题和背景

前文介绍过PPO框架中,我们需要有三个模型:

Actor策略模型:负责实际生成内容,是被优化的策略模型。

Reward Model奖励模型:负责给模型生成的完整输出打分,提供训练时的奖励信号。

Critic评论模型:负责估计当前生成状态的价值,用来计算优势,稳定训练过程。

强化学习系列(十二)--GRPO,DAPO,DUPO,GSPO
descript

上面就是PPO的优化目标函数。

PPO 的问题在于:Actor 和 Critic 都是大型神经网络,二者需要同时更新,显存开销大;并且 Advantage 的计算依赖一个学习到的价值函数,训练容易不稳定。

论文方案

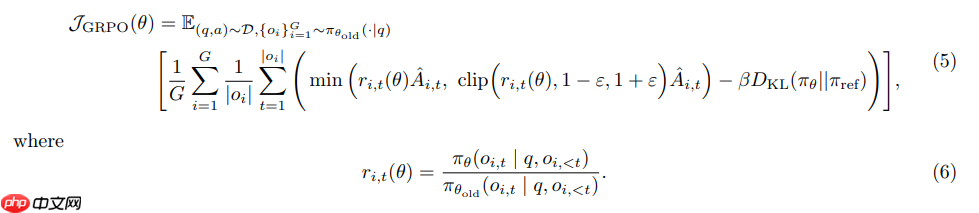
GRPO的解决方案就是直接去掉了Critic网络。GRPO的核心创新思路很简单:直接剔除Critic,启用群体相对优势。PPO中Critic存在主要就是为了计算优势函数,而什么是优势呢?就需要用Critic模型的值和奖励函数的值作比较得到,也就是它需要一个base基线。PPO用了模型,GRPO认为不就是要base么,我每次取一批数据,将平均值作为base不就好了。所以,它通过在一个批次(Group)的样本中对奖励进行归一化来计算优势函数。

计算公式: 优势函数 \hat{A}_{i,t} ,被计算为当前奖励与组内平均奖励之差,再除以该组奖励的标准差:

\hat{A}_{i,t} = \widetilde{r}_i = \frac{r_i - \text{mean}(\mathbf{r})}{\text{std}(\mathbf{r})}

核心代码:

<code class="python">import torchimport torch.nn.functional as Fdef compute_grpo_loss(    current_logits: torch.Tensor,    old_log_probs: torch.Tensor,    ref_log_probs: torch.Tensor,    rewards: torch.Tensor,    input_ids: torch.Tensor,    attention_mask: torch.Tensor,    beta: float = 0.04,    # KL 惩罚系数    epsilon: float = 0.2,  # Clip 范围    group_size: int = 4    # 每组采样的数量 (G)):    """    计算 GRPO Loss (无需 Critic 模型)        参数形状说明:    B: Batch Size (Prompts 数量)    G: Group Size (每个 Prompt 采样的回答数量)    S: Sequence Length    V: Vocabulary Size    Total Batch = B * G        Args:        current_logits: [B*G, S, V] 当前策略模型的输出 Logits        old_log_probs: [B*G, S] 采样时旧策略的 Log Probs        ref_log_probs: [B*G, S] 参考模型 (SFT模型) 的 Log Probs        rewards: [B*G] 每个样本的最终奖励值 (标量)        input_ids: [B*G, S] 输入的 Token IDs                                   attention_mask: [B*G, S] 掩码 (1为有效token, 0为padding)        group_size: int, 必须能被 batch_size 整除    """        rewards = rewards.view(-1, group_size)        # --- 核心步骤 1: 计算 Group Relative Advantage ---    # 论文公式: A_i = (r_i - mean(r)) / (std(r) + eps)    # 在每一组 (Group) 内部计算均值和方差    mean_rewards = rewards.mean(dim=1, keepdim=True)    std_rewards = rewards.std(dim=1, keepdim=True)        # 计算优势并恢复形状 -> [B*G]    advantages = (rewards - mean_rewards) / (std_rewards + 1e-8)    advantages = advantages.view(-1)         # 优势需要扩展到序列长度维度 [B*G, 1] -> [B*G, S-1] (假设预测的是下一个token)    #为了简化代码,假设 mask 处理了 prompt 部分    advantages = advantages.unsqueeze(1)     # --- 核心步骤 2: 获取当前策略的 Log Probabilities ---    # 使用 gather 获取实际生成 token 对应的 log_prob    # Logits: [B*G, S, V] -> LogProbs: [B*G, S]    log_probs = F.log_softmax(current_logits, dim=-1)        # 获取目标 token 的 log_prob    # input_ids 对应的是下一个 token    token_log_probs = torch.gather(log_probs, -1, input_ids.unsqueeze(-1)).squeeze(-1)    # --- 核心步骤 3: 计算 KL 散度 (用于正则化) ---    # 近似 KL: log(\pi) - log(\pi_ref)    kl_divergence = torch.exp(ref_log_probs - token_log_probs) - (ref_log_probs - token_log_probs) - 1    per_token_kl = token_log_probs - ref_log_probs        # --- 核心步骤 4: PPO Clipping Loss ---    # ratio = \pi / \pi_old = exp(log_\pi - log_\pi_old)    ratio = torch.exp(token_log_probs - old_log_probs)        # PPO Surrogate Loss    surr1 = ratio * advantages    surr2 = torch.clamp(ratio, 1.0 - epsilon, 1.0 + epsilon) * advantages    p_loss = torch.min(surr1, surr2)        # --- 核心步骤 5: 组合 Loss ---    # Loss = - (PPO_Objective - Beta * KL)    # 注意:我们要最大化 Objective,所以 Loss 取负        aux_loss = -beta * per_token_kl    total_loss = p_loss + aux_loss        # 应用 Mask 并求平均    weighted_loss = total_loss * attention_mask    loss = -weighted_loss.sum() / attention_mask.sum()    return loss</code>
登录后复制

GRPO是在DeepSeek出圈时受到更多人关注,DeepResearch Agent的论文中WebWatcher,WebSailor-V2,ReSum就是用的GRPO。

DAPO:Decoupled Clip and Dynamic Sampling Policy Optimization

DAPO: An Open-Source LLM Reinforcement Learning System at Scale

论文链接:https://arxiv.org/pdf/2503.14476

DAPO该方法是字节跳动出品,论文为了解决LLM的RL在长思维链场景下遇到的问题而设计的。

Tongyi DeepResearch的WebDancer方法中数据存在Long-CoT,所以采用了 DAPO 算法来优化策略,以增强泛化能力。

问题和背景

论文介绍了经典的PPO:用于策略优化,利用 clip 机制控制更新幅度。

GPRO:在 RLHF/LLM 推理场景中,GRPO利用一组 G 个样本计算 group‑relative reward 值,再做 clip 及 KL 惩罚。

但是,论文指出在长链推理任务中,使用 GRPO 会遭遇一些问题,比如样本­级别的 loss 计算方式、KL 散度限制(在推理时可能不必要)。

论文方案

DAPO的四个关键技术:

(1) Clip‑Higher

在PPO 和GRPO中,clip机制限制了策略更新的比率,通常为 1−ε, 1+ε。这种对上界同时做了硬限制,反而抑制了低概率 token的探索,从而导致熵快速坍塌:策略变得过确定、样本缺乏多样性。

比如:如果旧策略对某 token 的概率是 0.01,而 ε=0.2,则 0.01×(1+0.2)=0.012 — 提升空间非常有限;而对一个旧概率为 0.9 的 token,则最多可到 1.08,单其实已经饱和。也就是说,高概率还在强制探索,而低概率的探索token被限得太死。

DAPO提出 Clip‑Higher 策略:将 clip 的上界设得更松,对下界保持原来甚至更严格。也就是说,上界放宽,让低概率 token 有更大提升空间,从而促进多样性与探索。

实验上显示:采用 Clip‑Higher 后,模型的生成熵保持得更高,样本多样性更好,从而提高了任务表现。

(2) Dynamic Sampling

在 RL training 中,当 prompt 很容易(模型几乎都答对)或太难(模型几乎都答错)时,优势会变成零,从而该 prompt 对梯度贡献几乎为零。这导致有效 batch 中“有梯度”的样本越来越少,训练效率下降。

DAPO提出动态采样(Dynamic Sampling)机制:对 prompt 输出结果进行筛选和过滤。对于一个 batch,他们会过采样 prompt,直到收集到一批 “既不是全部正确也不是全部错误” 的 样本。这样每个 batch 都含有有效梯度贡献的样本。

这种方案虽然增加了采样成本,但实际训练时间并没有显著增加,反而由于更有效地利用数据、梯度信号更强,收敛更快。

(3) Token‑Level Policy Gradient Loss

在 GRPO算法中,loss 常在样本级别计算:每个样本先在 token 上平均,然后一个batch上再在样本上平均。但是对于长输出,长样本与短样本在贡献上被同等对待,导致长样本中每个 token 的信号变弱。这会导致模型倾向生成更长、但可能质量差的输出,比如出现冗余的无效token输出。

强化学习系列(十二)--GRPO,DAPO,DUPO,GSPO
descript

DAPO为了解决这个问题,改为 token‑级别的 loss 计算,把每个 token 看作一个强化学习的决策点,每个 token 都有自己的 policy-gradient 信号,而不是整条序列只用一个优势值。这样在强化过程中,每个token都需要为最终结果承担责任。

强化学习系列(十二)--GRPO,DAPO,DUPO,GSPO
descript

DAPO采用 token‑level loss 后,模型的输出长度增长变得健康许多,熵也更稳定。

此外,他们 去掉了 GRPO 中的 KL 散度惩罚项,因为在长 CoT 推理场景中,策略可能合理地从初始模型大幅偏移,KL 限制反而可能抑制探索。

(4) Overlong Reward Shaping

当生成达到最大 token 长度时,传统做法可能直接惩罚或截断。但是作者发现:不恰当的奖励处理(例如,自动惩罚超长输出)会引入大量 奖励噪声,干扰训练稳定性。

DAPO提出两段方案:

Overlong Filtering:对被截断的超长样本,在 loss 计算中“掩蔽”它们

Soft Overlong Punishment:对于超过某长度L_{max}-L_{cache} ,但是小于L_{max} 的输出,按长度惩罚(惩罚随长度增加而增大);若超过则固定 –1 处罚;

小艺
小艺

华为公司推出的AI智能助手

小艺 549
查看详情 小艺
强化学习系列(十二)--GRPO,DAPO,DUPO,GSPO
descript

伪代码:

强化学习系列(十二)--GRPO,DAPO,DUPO,GSPO
descript

通过这些机制,训练更稳定、输出长度控制更合理。

DUPO:Duplicating Sampling Policy Optimization

WebSailor: Navigating Super-human Reasoning for Web Agent

论文地址:https://arxiv.org/pdf/2507.02592

DUPO是通义在自己的WebSailor 论文中提出的高效的Agent RL 训练算法。DUPO 主要是通过在批次中复制标准差不为 0的样本来填充被移除的样本,以解决 RL 训练速度慢的问题。

问题和背景

DAPO虽然通过动态采样来优化了每个批次的数据,但每个批次内不同样本进行串行 rollout的机制,进一步加剧了训练速度的缓慢,使得在有限时间内进行充分训练变得不切实际。

DAPO等RL在WebAgent的核心问题在于:

稀疏奖励:在WebAgent任务中,一个完整回合可能非常长,多轮交互(迭代的思考 + 工具调用 + 观察 + 推理),真正有价值的信号很稀疏。

采样效率低:标准的RL,尤其是 on-policy 方法,在这种环境里效率非常低,因为每个回合都可能花很多时间,尤其还要web检索,工具又贵又慢,环境的开销非常大。

训练不稳定:如果大部分回合是“非常简单”或“非常困难”,策略优化信号不稳定或方差很大。

论文方案

DUPO 通过整合两种动态采样策略来提高训练的有效性和效率,并进一步完善智能体的推理能力和样本效率。论文指出DUPO方法与 DAPO 的动态采样相比,实现了大约 2 到 3 倍的加速。

DUPO 的具体优化方案:

预训练阶段的样本过滤

DUPO 在正式训练之前,首先会过滤掉过于简单的案例。例如,将所有 8 次策略执行(rollouts)都正确的案例筛选出去。

2. 训练阶段的重复采样策略

在训练过程中,DUPO 采取了一种高效的批次填充策略:

移除简单或完全失败的案例: 那些标准差为 0 的案例会被移除。标准差为 0 意味着所有策略执行结果都要么完全正确,要么完全不正确。

动态重复采样: DUPO 不使用填充来扩大批次,而是随机重复同一批次中标准差不为 0 的其他样本来填充被移除的空位。

这种基于标准差的重复采样机制,确保了模型训练专注于那些结果具有不确定性的复杂案例,从而更有效地利用高质量的复杂训练数据。

3. 目标函数策略

策略损失掩码: 与 SFT 类似,在计算策略损失时,将环境的观察结果进行掩码。

优势估计: DUPO 遵循 GPRO 的方法,以组内相对的方式估计优势。

策略梯度损失: DUPO 沿用了token级别损失以及higher clip技术。

奖励机制: 为了避免reward hacking,DUPO 采用了一种结合格式验证(0.1 权重)和答案验证(0.9 权重)的基于规则的奖励机制。格式分数验证策略执行轨迹是否遵循预定义的格式(例如 等标签是否正确),而答案分数则使用大型语言模型作为判断标准来确定最终预测是否正确。

DUPO通过这种集成方法,WebSailor 能够在强化学习阶段进一步提炼DeepResearch Agent的推理能力,并最终激发其发现和内化复杂问题解决策略的内在潜力,并且在训练速度上有大幅度提升。

GSPO (Group Sequence Policy Optimization)

GSPO:Group Sequence Policy Optimization

论文地址:https://arxiv.org/pdf/2507.18071

GSPO也是通义实验室提出的论文,WebResearcher 项目采用了 GSPO的方案。

问题和背景

随着模型能力与复杂性的提升,例如更长的响应、Mixture‑of‑Experts(MoE)结构等,RL训练变得更加不稳定。论文指出GRPO这种方法训练不稳定问题的根本在于:GRPO 使用 token-level的重要性比率(注意不是token-level的loss和DAPO不要搞混了),但是reward的单位通常是整条 sequence ,这样的不匹配会引入高方差。随着响应长度变长,这种噪声/方差积累严重,对训练极为不利。

此外,对于 MoE 模型 (Mixture-of-Experts),由于结构更复杂(如专家路由、稀疏活跃路径等),训练的稳定性是一个更大的问题。论文指出 GRPO 在这类模型上极不稳定。

论文方案

论文为了解决上诉重要性比率单位和loss的不匹配,以及训练稳定性问题,提出了GSPO(Group Sequence Policy Optimization)。

GSPO的核心思想主要是:

重要性比率的定义

GSPO用序列级别的概率来定义重要性比率 (不是 token 级别)。

具体地,对于一个输入 (query) x 和模型生成的响应 (完整序列) y,旧策略 是 {\pi_{\theta_{\text{old}}}(y \mid x)} ,新策略是{\pi_{\theta}(y \mid x)} ,那么重要性比率定义为:

s_i(\theta) = \frac{\pi_\theta(y_i \mid x)}{\pi_{\theta_{\text{old}}}(y_i \mid x)}

这种定义更符合 重要性采样的基本原理,因为它直接衡量整条序列在新旧策略下的偏差。

优势函数

GSPO 使用 group-based (组内) 优势估计:对同一输入 x,生成 G 条响应\{ y_i \}_{i=1}^G ,然后对它们计算回报 r(x,y_i) ,形成组。

对于每条响应 y_i 的优势函数 A_i^b 计算为:

A_i^b = \frac{r(x, y_i) - \mathrm{mean}(\{r(x, y_j)\}_{j=1}^{G})}{\mathrm{std}(\{r(x, y_j)\}_{j=1}^{G})}

这样的标准化优势使得模型对组内的reward差异敏感,更容易利用这些差异进行优化。

目标函数 (Objective) 和裁剪 (Clipping)

和PPO的思路一致,GSPO 使用一个 sequence-level 的clip 机制。

强化学习系列(十二)--GRPO,DAPO,DUPO,GSPO
descript

也就是说,对于每条完整response序列,他们对其 “重要性比率 × 优势函数” 做裁剪,防止比率偏离过大引起的不稳定。

相比 GRPO 的 token-level 可能引入高方差,GSPO 更稳定,尤其在训练大模型例如 MoE 时减少崩塌风险。在复杂问题比如WebReasearch中,也用到GSPO提升复杂推理问题的性能和效率。

核心代码:

<code class="python">import torchimport torch.nn.functional as Fdef compute_sequence_likelihood(model, query, response):    """    计算序列似然度 π_θ(y | x)    """    input_ids = torch.cat([query, response], dim=1)    outputs = model(input_ids=input_ids)    logits = outputs.logits        # 获取 response 部分的 logits    response_log_probs = F.log_softmax(logits, dim=-1)[:, query.size(1)-1:-1, :]    token_log_probs = torch.gather(        response_log_probs, dim=2, index=response.unsqueeze(-1)    ).squeeze(-1)        # 序列级别的对数似然度    return token_log_probs.sum(dim=1)def compute_importance_ratio(model, query, response, old_log_probs):    """    计算序列级别的重要性比率 s_i(θ) = π_θ(y_i | x) / π_θ_old(y_i | x)    """    current_log_probs = compute_sequence_likelihood(model, query, response)    return torch.exp(current_log_probs - old_log_probs)def compute_normalized_advantages(rewards):    """    计算归一化优势 Ã_i = (r_i - mean(r)) / std(r)    """    mean_reward = rewards.mean(dim=-1, keepdim=True)    std_reward = rewards.std(dim=-1, keepdim=True).clamp(min=1e-8)    return (rewards - mean_reward) / std_rewarddef gspo_loss(model, queries, responses, old_log_probs, rewards, clip_range=0.2):    """    GSPO 核心损失函数    J = E[min(s_i * A_i, clip(s_i, 1-ε, 1+ε) * A_i)]    """    # 计算重要性比率    importance_ratios = []    for i, response in enumerate(responses):        old_log_prob = old_log_probs[:, i] if old_log_probs.dim() > 1 else old_log_probs        ratio = compute_importance_ratio(model, queries, response, old_log_prob)        importance_ratios.append(ratio)    importance_ratios = torch.stack(importance_ratios, dim=1)  # [batch, group_size]        # 计算归一化优势    advantages = compute_normalized_advantages(rewards)  # [batch, group_size]        # 序列级别裁剪    clipped_ratios = torch.clamp(importance_ratios, 1.0 - clip_range, 1.0 + clip_range)        objective = torch.min(        importance_ratios * advantages,        clipped_ratios * advantages    )        return -objective.mean()</code>
登录后复制

总结

以上就是强化学习系列(十二)--GRPO,DAPO,DUPO,GSPO的详细内容,更多请关注php中文网其它相关文章!

最佳 Windows 性能的顶级免费优化软件
最佳 Windows 性能的顶级免费优化软件

每个人都需要一台速度更快、更稳定的 PC。随着时间的推移,垃圾文件、旧注册表数据和不必要的后台进程会占用资源并降低性能。幸运的是,许多工具可以让 Windows 保持平稳运行。

下载
来源:php中文网
本文内容由网友自发贡献,版权归原作者所有,本站不承担相应法律责任。如您发现有涉嫌抄袭侵权的内容,请联系admin@php.cn
最新问题
开源免费商场系统广告
热门教程
更多>
最新下载
更多>
网站特效
网站源码
网站素材
前端模板
关于我们 免责申明 举报中心 意见反馈 讲师合作 广告合作 最新更新 English
php中文网:公益在线php培训,帮助PHP学习者快速成长!
关注服务号 技术交流群
PHP中文网订阅号
每天精选资源文章推送
PHP中文网APP
随时随地碎片化学习

Copyright 2014-2025 https://www.php.cn/ All Rights Reserved | php.cn | 湘ICP备2023035733号